SLO/KM :: Vizualizace

InfWell1D.png InfWell1DRho.png
Vlnové funkce v 1D jámě (+rozposunutí) Hustoty pravděpodobnosti v 1D jámě (+rozposunutí)
InfWell2D.png InfWell3D.png
Hustoty pravděpodobnosti ve 2D jámě Hustoty pravděpodobnosti ve 3D jámě
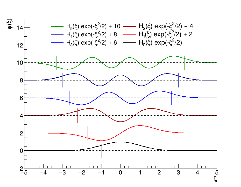
Vlnové funkce harmonického oscilátoru (+rozposunutí) Hustoty pravděpodobnosti harm. osci. (+rozposunutí)
Vlnové funkce harmonického oscilátoru Hustoty pravděpodobnosti harm. osci.

InfWell2D_ANIM.png
Časový vývoj stavu elektronu ve 2D nekonečně hluboké potenciálové jámě, který byl v čase t=0 ve stavu popsaném kvantovými čísly (nx,ny) zvolených jako (2,1) a (3,4).

FiniteWell_example.png
Grafické řešení a energetické hladiny, a vlnové funkce a hustoty pravděpodobnosti pro alfa částici v konečně hluboké pravoúhlé jámě hloubky 500 MeV a šířky 2 fm.